Foucault Pendulum
*This author wrote this paper as a senior thesis under the direction of Dr. Michael Kash.
This project studies the Foucault pendulum, a free swinging 3-dimensional pendulum influenced by the rotation of the Earth. Three notable characteristics are derived: the pendulum’s period, the impact of the Coriolis force on the bob, and apsidal precession due to ellipticity in the oscillations. Data from a magnetically driven Foucault pendulum taken during the summer of 2023 is compared with the predicted derivations for the Coriolis force. As there is a lack of data on the apsidal precession, the effect of elliptical oscillations is explored through a reference pendulum. We find that the Foucault pendulum, while a great tool for scientific demonstrations, can easily succumb to apsidal precession which may negate all effects of the Coriolis force. If a pendulum is to be constructed to demonstrate only the Coriolis force, great efforts must be undertaken to prevent elliptical oscillations.
Introduction
Léon Foucault was a 19th century French medical student, but his interest in early cameras and optics, as well as his dislike of blood, led him to pursuing physics1. He continued to pursue optics, making great strides and eventually getting nominated to be the Académie des Sciences reporter for the Journal des Débats, the most prestigious journal in France. There, he wrote on advancements in science covering all fields, from physics and chemistry to medicine and industry. He continued to work on his own optics projects, eventually earning a doctorate for his study of emission lines. However, he is not remembered for his work on emission lines, but rather his pendulum experiment done a couple years prior.
After a trip on rough seas, Foucault received inspiration upon seeing the spar of a ship still relative to the boat. He initially tried placing a vibrating steel rod in a rotating chuck, which would prove analogous to the eventual pendulum wire on a rotating Earth. The pendulum experiment started in Foucault’s home with a 2-meter pendulum, but Foucault was not happy with all the interfering vibrations from the outside world. He ended up getting permission to put up an 11-meter pendulum in the Paris Observatory. This experiment proved so popular that an even larger demonstration was set up in the Panthéon of France. This monumental 67-meter setup was even more popular, inspiring similar demonstrations across Europe and the Americas.
This experiment has endured the test of time, and its impact on popular science is not to be discounted. However, the reception from physicists in Foucault’s time was not so warm. At the time, the exact science behind the pendulum was not so well known, and many scientists proposed their own theories to explain it. Although modern physics has a better understanding of how the pendulum works, the Foucault pendulum is reserved for demonstration purposes without need for precise measurement. This thesis will describe the physics behind the Foucault pendulum and examine data taken from the summer of 2023 using a magnetically driven Foucault pendulum.
1.Theory
A. Elliptic Functions

We must first develop a major mathematical tool to be used for theory. First, consider the following differential equation:
![]()
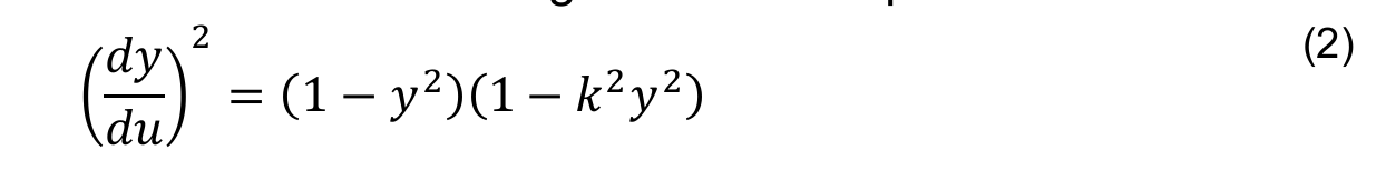
A fairly simple solution to this equation is y = sin(θ). The sine function is thought of in simple words as the y coordinate of a unit circle, but this differential equation could serve as a definition for sine given initial conditions to get a particular solution. Now consider the following differential equation:
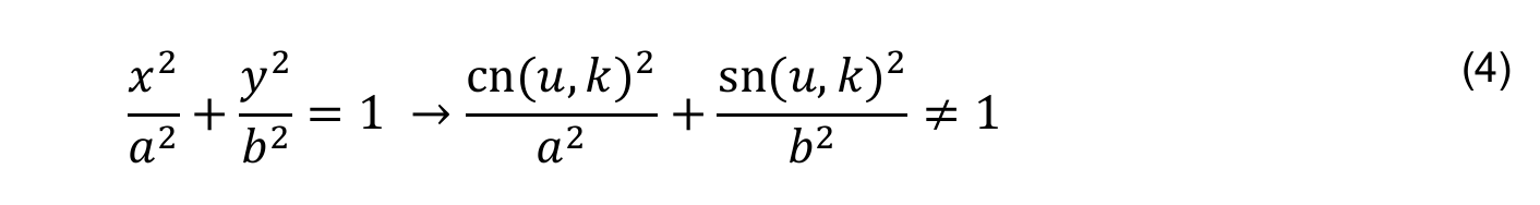
Just like how (1) could serve as a definition for sine, (2) serves as a definition for sn(u, k), the Jacobi sine function. This is how the main text used in this thesis, Principles of Mechanics by John L. Synge and Byron A. Griffith, defines this function2. However, a more intuitive explanation may help readers understand the idea of elliptic functions. Whereas sine uses an angle θ to parametrize the y coordinate of a unit circle, Jacobi sine uses parameters u, the arc length of an ellipse, and k, the modulus or eccentricity of an ellipse, to generalize the sine function3. Although eccentricity is a parameter, many texts choose to leave it off. As there is a cosine analogue to sine, there is a cn(u, k), Jacobi cosine. The equation for a circle is sufficiently described with just sine and cosine:

But an ellipse is not sufficiently described by Jacobi sine and cosine:

In (4), a and b are the axes of the ellipse, defining eccentricity as such:


Figure 1: Plot of Jacobi cosine (blue), Jacobi sine (orange), and delta amplitude (green) for k*= 0.9.
Note that for eccentricity 0, meaning that the minor and major axes of the ellipse are the same, (2) reduces to (1), and that (4) will show equality as in (3). If you want to parametrize an ellipse with Jacobi elliptic functions, then you will need to use dn(u, k), the delta amplitude. Delta amplitude can be defined:

With these three main functions, several relations can be defined.


Figure 2: In blue is a plot of a circle parametrized by sine and cosine, and in red is an ellipse parametrized by Jacobi sd and cd with k = 0.75. Note how the ellipse is twice the length horizontally than vertically, meaning for a = 0.5 and b = 1, k = 0.75.
There are also inverse Jacobi elliptic functions of sn(u, k), cn(u, k), and dn(u, k) being ns(u, k), nc(u, k), and nd(u, k) respectively5. To fully parametrize an ellipse, the relations sd(u, k) and cd(u, k) can be used.
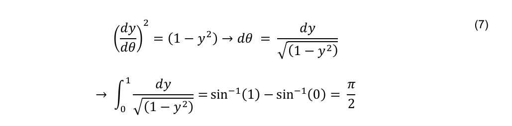
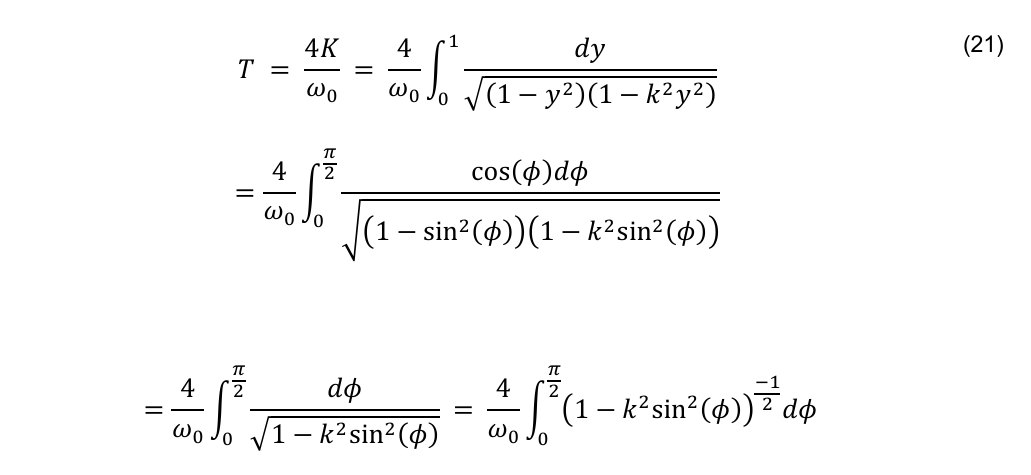
Sine is a periodic function, meaning that sin(θ) = sin(θ + p) for some period, p. We all learn relatively early on that this p is 2π, and this can be confirmed by looking at a graph of sine and seeing at which point it begins to repeat. We can find a quarter of a period from solving the differential equation definition for sine and then integrating with respect to y from 0 to 1:

It is obvious that π/2 is not the same as 2π, but you can reach it by multiplying by a factor of four, which comes from understanding what the above integral solves. Integrating from zero to one with respect to y gives that the change in θ is π/2. To go from one to zero is the same change in θ, as is from zero to negative one, as is from negative one to zero. After four of these integrals, the function repeats. The Jacobi sine function is likewise periodic, but trickier due to the dependance on the modulus, k. We define the Jacobi elliptic integral of the first kind, K, as a quarter of a period for Jacobi sine:

Figure 3: Plot of sine in blue, with the red showing a quarter period of sine, from 0 to π/2

Once again, setting k to 0 returns π/2 for the case of a circle. However, any other value of k proves challenging, challenging enough that even a computer struggles to accurately evaluate the integral. It is worth notingthat Jacobi sine and cosine both have a period of 4K, but the delta amplitude does not. Delta amplitude has a period of 2K, which can be reasonably understood through intuition. Jacobi sine and cosine are saying something about the vertical and horizontal components and delta amplitude is saying something about the distance from the origin. Length is strictly positive, and while Jacobi sine and cosine must pass around an ellipse completely to repeat, delta amplitude considers the top half and bottom half of an ellipse identically. Therefore, delta amplitude will have half of the period of Jacobi sine and cosine.

Figure 4: Plot of Jacobi sine for k = 0.1 (blue), k = 0.5 (orange), k = 0.9 (green) and the corresponding points which Mathematica has approximated the solution to the Jacobi elliptic integral of the first kind times 4 for the period. As clearly visible, the solutions appear near where the function repeats but are not quite accurate. Also note that the further k is from 0, the less “sinelike” the function appears.
It is worth noting that Jacobi elliptic functions have real and complex periods, 4K and 2iK’ where K’ is the elliptic integral of the first kind only using k’, which is the square root of 1-k2. However, for this project, we only need to consider Jacobi sine for real periods.

Figure 5: For this section, consider a swinging pendulum in cylindrical coordinates.
B. Period of a Pendulum

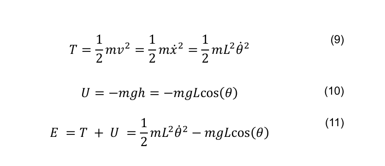
To start solving for the period of a pendulum, we will take the approach of Synge and Griffiths considering the total energy of a swinging pendulum. The total energy E, is the sum of the kinetic energy, T, and potential energy U:


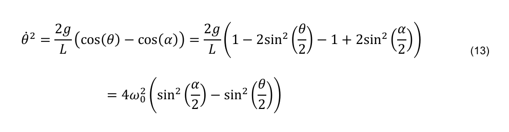
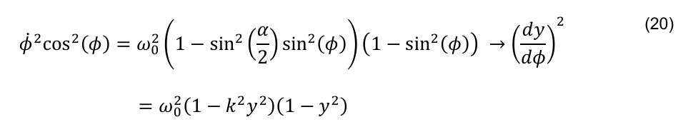
At the peak of the swing, all energy is in the potential element, and the angle that this swing makes can be called α. The total energy can then be solved in terms of α, θ, and the natural frequency ω0. From here, a hearty helping of algebra will justify the previous emphasis on elliptic functions. First, we need to define ϕ, which has no true physical meaning, but will lead to a handful of helpful substitutions. Since we are defining ϕ by (14), we can get (15) by taking the derivative with respect to time. Squaring this will give (16).

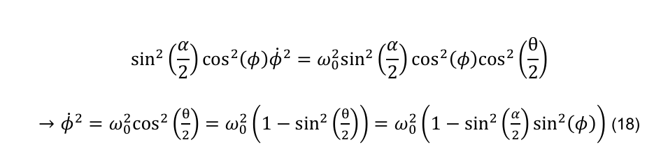
We start by multiplying (13) by ¼ cos2(θ/2), use (14) to substitute inside the parentheses, factor out the α term, and then use the identity for sine squared and cosine squared summing to one to simplify the term in the parentheses.

We can now use (16) on the left side of (17), cancel the like terms, use the same identity as before to replace cos2(θ/2), and use (14) again.

We now multiply (18) by cos2(ϕ) and convert the right-hand side cosine to sine with the same identity as before. If you let y = sin(ϕ), and k = sin(α/2), you find that (19) shows a familiar form.


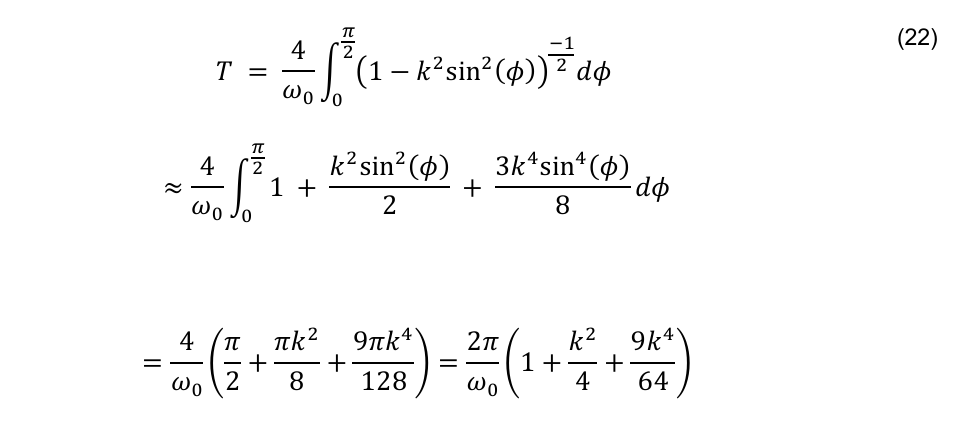
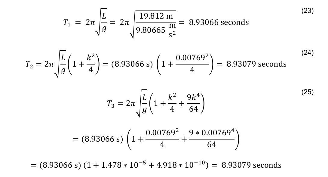
This equation has the exact same form as (2) defining Jacobi sine, only with the extra ω02 term. Since we are looking for the period of the pendulum, we get it through integrating (20). As found in the previous section, the period of Jacobi sine is 4K, where K is the Jacobi elliptic integral of the first kind. In this case, it is divided by ω0 as can be seen easily from manipulating (20) akin to (7). We can use Newton’s binomial expansion and then integrate the first couple of terms to get an approximation of the period of a swinging pendulum.


Through the ϕ substitution, we find that the period of θ is dependent on the max amplitude of the swing, α. We can use this more accurate equation for the period to see how far off it is from just using the 2π/ω0 with the Griffin Museum of Science and Industry pendulum in Chicago6. The pendulum is 65 feet long and swings out about a foot after being damped by air resistance. This means that the max amplitude angle α = 0.88151 degrees and k = sin(α/2) = 0.00769 at an accuracy of five decimal places. Other useful values here are the length in meters (19.81200 m) and standard gravity7 (9.80665 m/s2).

As can be seen, using a third order approximation shows no more practical accuracy over a second order approximation, and even a second order approximation is within two thousandths of a percent of the first order approximation. We can consider the first order approximation period to be accurate for pendulums which swing through small angles. The pendulum used for data collection in this project is not as grand, but it has a length of approximately 2.36 meters and swings out about 0.20 meters. This means that the angle the pendulum swings through is roughly 4.81 degrees, which is higher than the Griffith Museum pendulum. This is expected, as the museum pendulum is not driven and so succumbs to damping from air resistance. Although this angle means that the approximation is not as accurate, the second order approximation is still within five hundredths of a percent of the first order approximation.
C. Rotating Reference Frame
The crux of the Foucault pendulum is that for observers on Earth, it will appear as though the plane of oscillation is rotating over time. In fact, the plane of the pendulum is still, and it is the Earth and its observers rotating. Naturally, this brings up the question of how an object behaves in a moving reference frame. The following derivation is modified from John R. Taylor’s Classical Mechanics8.
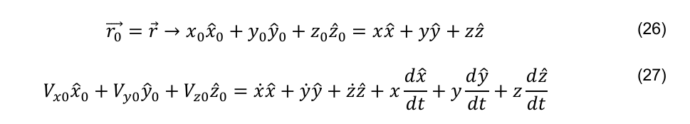
Let S0 be the universe’s reference frame (in other words, a non-moving reference frame), S be the reference frame on Earth, r0 be the position of the object of interest in the S0 frame, r be the position of the object of interest in the S frame, and Ω be the rate of Earth’s rotation, and Ω the axis of rotation. It is easy to see that if you choose t = t0 where S = S0, then at t1, S ≠ S0. The object is not moving, which means that there is no change in frame S, but in frame S0 it appears as if the object has moved.

Figure 6: In this figure, frame S is rotating counterclockwise (marked in green) which will make it appear as if the object has moved clockwise (marked in red).


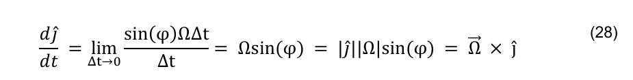
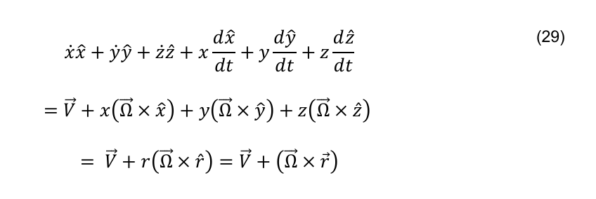
As our end goal is to find the object position with respect to time, we can start by breaking the position vector into its components and differentiating.Taking the derivative poses a challenge in that the directions of x, y, and z are changing as the frame rotates. Looking at figure 7, there is a unit vector that is constant angle φ from , which is in the direction. If is rotating about with a rate Ω, over time Δt, the position of changes by sin(φ)ΩΔt. Since is a unit vector, the derivative with respect to time is just the cross product between and 9.
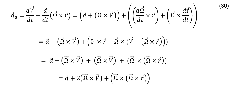
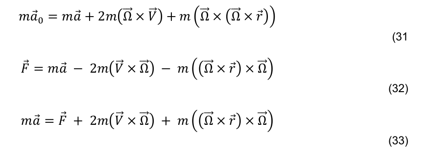
This result can be used in (27) to obtain a more functional form for velocity in frame S.To obtain acceleration, we need to differentiate (29). Note that although the Earth’s rotation about its axis is technically changing, it is so subtle that it may be considered to be 0 for the following equation.
Additionally, the result of (29) can be substituted for dr/dt.


Figure 7: A unit vector j ̂ that is constant φ down from Ω , and is rotating with rate Ω.

We can now apply Newton’s second law of motion, which is to say multiply both sides of the equation by the mass of the object. We then solve for the acceleration in the S frame. This result shows that the acceleration in frame S is given by any forces in the S frame, the Coriolis force, and the centrifugal force. If the change in the Earth’s acceleration was not neglected in (30), there would be another term for the transverse force.

D. Pendulum on Earth
With an understanding of how an object moves in a rotating reference frame, we can examine how the Foucault pendulum acts at different positions on Earth. The first step is to understand the forces from the previous section. Taking the cross products finds that the centrifugal force is radially outward and the Coriolis force is perpendicular to velocity, clockwise in the Northern hemisphere and counterclockwise in the Southern hemisphere. The inertial forces in the S frame for a pendulum are the forces from the tension in the suspension and the force of gravity.

Figure 8: In this section, the pendulum is suspended from a point on the z axis, and pictured are the forces. The tension forces are restorative.
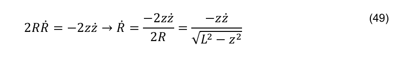
Here we make a major approximation: the pendulum is only swinging through small angles. In reality, the pendulum may swing out even a couple of degrees, causing issues for this approximation. The result of this approximation is the following:

It is additionally worth noting that mg in this case is the combination of the centrifugal force and mg0, the “true” force of gravity in the S0 frame as both lie exclusively in the z direction. The tension forces in the x and y directions can now be related to the distance of the swing, x or y, and the length of the pendulum L.

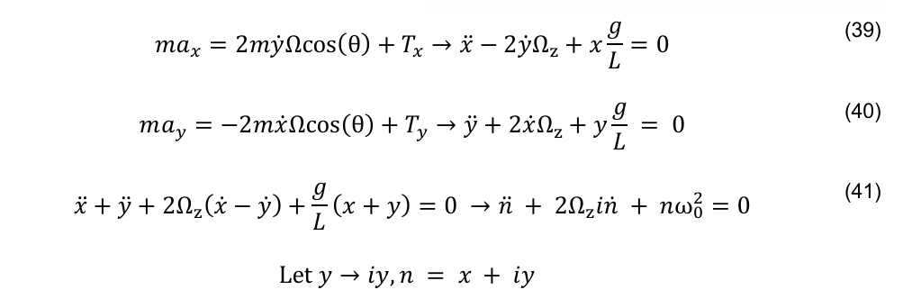
Before these equations can be recombined into (33), we should break the Coriolis force into its components. Although the velocity does technically have a z component, we are able to ignore that as a product of small swings. If we select the z direction to be into space, then let the angle between the axis of rotation and the “upward” direction be θ. As a result, θ is the colatitude as seen figure 9.

We can now return to (33) and split it into its x and y components so that we may solve the resulting differential equations for the pendulums position as a function of time. Mass can be canceled out of every term and g/L is ω02, the natural frequency of the pendulum. Additionally, Ωcos(θ) is just the z component of , Ωz. Equations (39) and (40) can be combined through the use of a complex variable and then solved like a standard linear second order differential equation.

Figure 9: Although initially unintuitive, this figure may help in understanding why the colatitude is involved. It may be more natural to convert the cosine of the colatitude into the sine of the latitude.

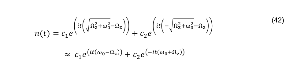
In solving this differential equation, we find that the Ωz in the square root may be neglected, as the Earth’s rotation rate is orders of magnitude slower than the frequency of the pendulum, which is a handful of seconds at most.

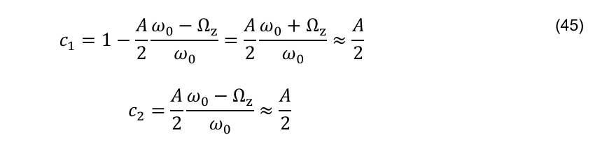
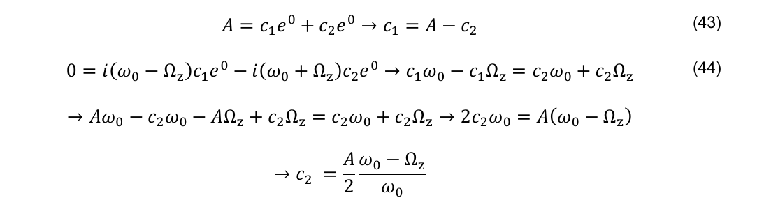
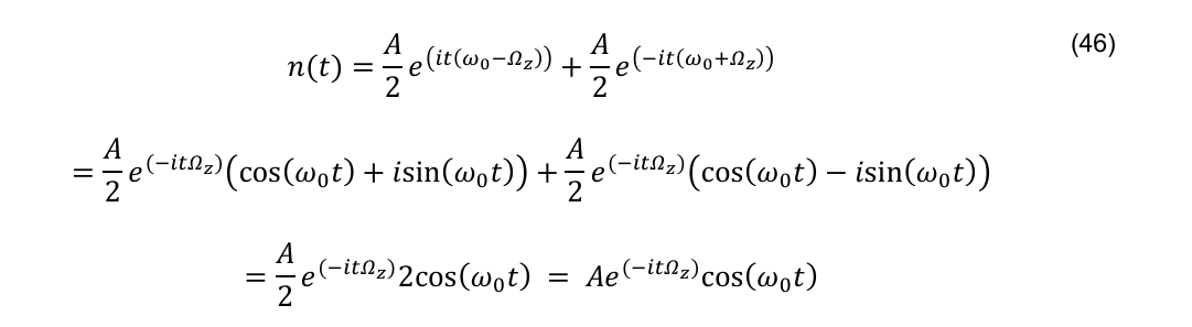
To solve for c1 and c2 we must choose initial conditions for the pendulum. To keep the solution straightforward, we can choose a t0 where the pendulum is at the peak of its swing such that the x and y velocities are 0 and either x is at amplitude A and y is 0, or vice versa. In a similar fashion to (42), the relationship that Ωz is much smaller than ω0 may be used to simplify the constants.



And so, we can return to (42) with the solved constants for an amplitude A. Ultimately, the final equation of motion for a pendulum succumbing to the Coriolis force is:

We find that the motion of a pendulum on Earth will swing back and forth depending on its natural frequency and amplitude, but also that the plane in which it swings back and forth will rotate over time depending on the rate of the Earth’s rotation and colatitude at which the pendulum is located.
E. Apsidal Precession

Figure 10: A top down view of a possible elliptical trajectory (blue). The apses are located at the end points of R1 and R2.
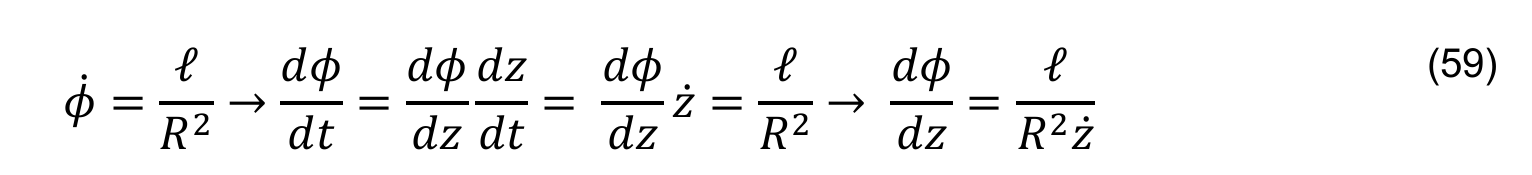
Ideally, the pendulum will move only as predicted in equation (47). However, disturbances, even from something as small as starting the pendulum with some velocity, will cause the pendulum to move in an ellipse. An apse is the extreme of an ellipse, essentially the point at end of the major and minor axes. The following relationship between radial distance, pendulum length, and bob position is simple to understand.

Suppose a pendulum with length L is suspended from the origin of a cylindrical coordinate system. If the pendulum swings through its lowest possible point, the z position is -L, and so the radial distance is 0. If the pendulum swings in a perfect circle, then the z position is 0, and the radial distance is the entire length of the pendulum. In this section, we will conclude that a pendulum oscillating in an ellipse will process based on its area, but we will need to derive it through the z position of the bob.
We take the derivative of (48) with respect to z to get a useful substitution for later. Another useful equation we need is for the angular momentum per mass, ℓ, which when using cylindrical coordinates, is only in the ϕ direction for this case.


We can rearrange the definition of angular momentum to find the change in the azimuthal angle of the bob:
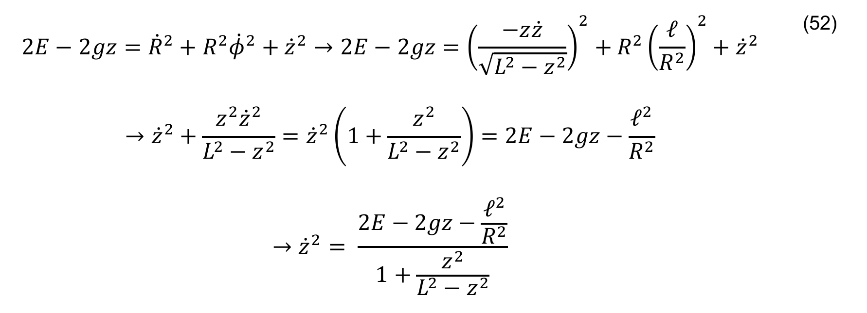
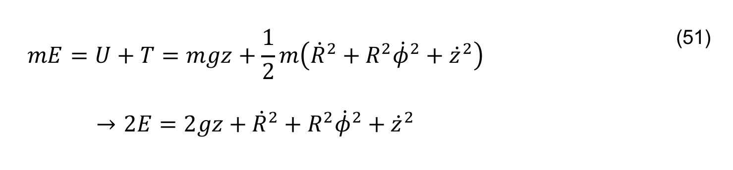
We will again be using Synge and Griffiths approach to understanding the motion through energy, so we let E be the energy per mass and then solve for total energy in terms of potential energy U and kinetic energy T.

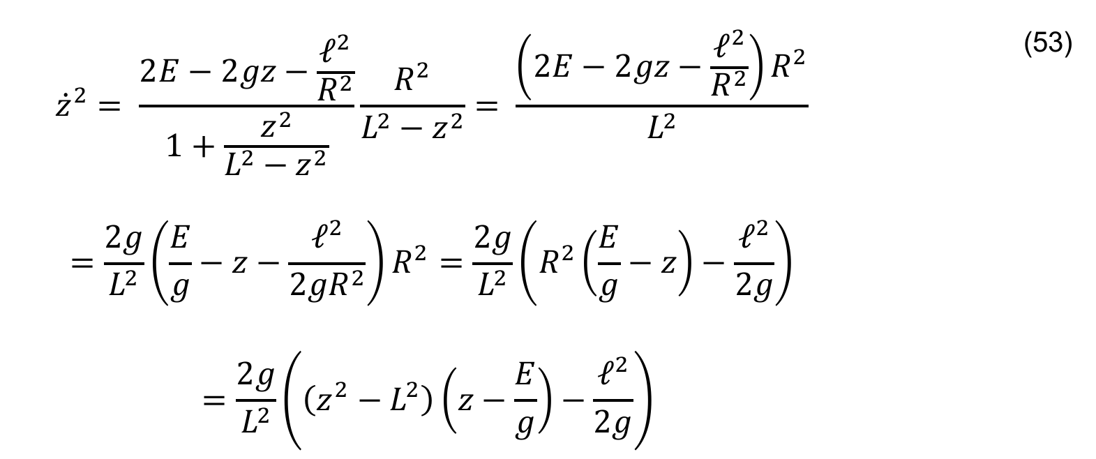
Unlike in equation (9), equation (51) uses velocity in terms of cylindrical components. This equation can be solved for the acceleration in the z direction. We then substitute in equations (49) and (50).


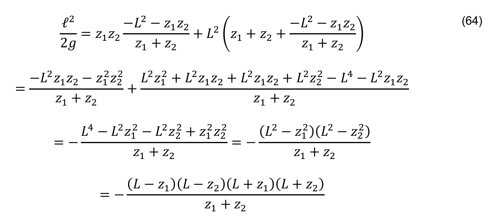
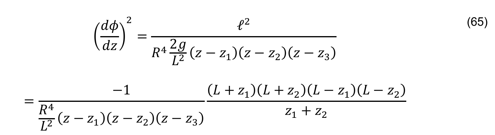
We then simplify this equation by multiplying the top and bottom of the right-hand side by equation (48), utilizing both the left and right-hand sides.
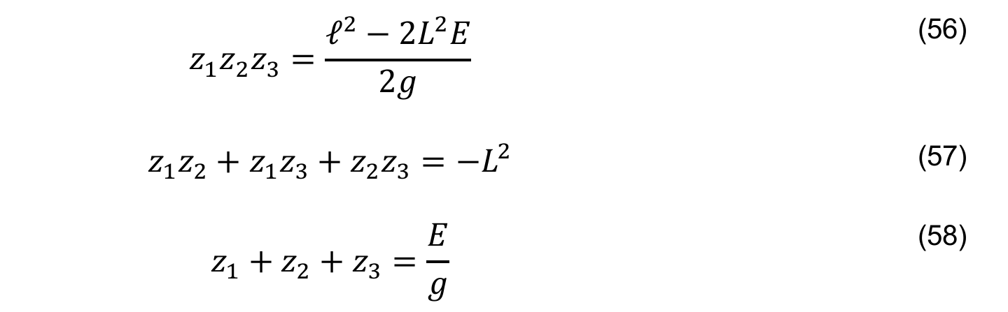
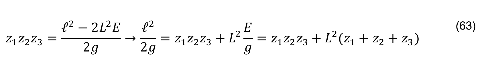
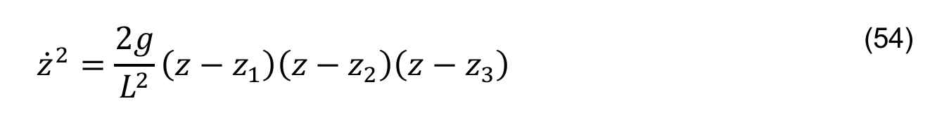
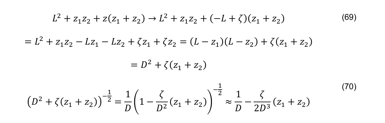
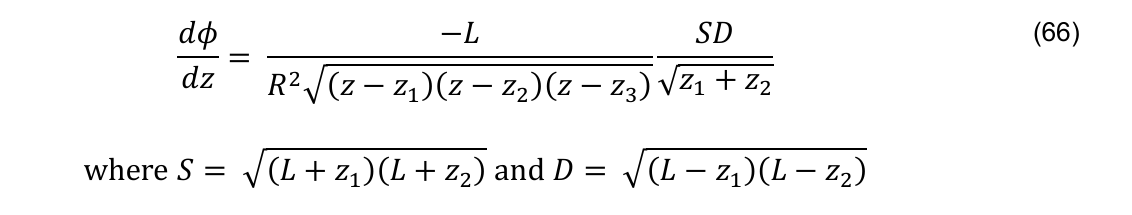
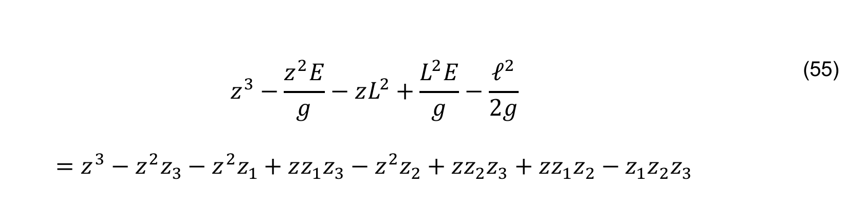
This equation is a bit of a mess. However, we can extract some handy information, notably that there will be three roots since the term in parentheses is z to the third power. We can then rewrite equation (53) in a more digestible way.

This means that the right-hand sides of (53) and (54) must be equal, and expanding both sides after dropping the leading coefficient gives the following.

The third power of z on both sides will cancel, and we can now compare the constant, first order, and second order terms.

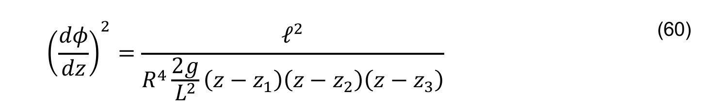
We can now return to equation (50) and solve it for the angle ϕ with respect to the pendulum’s z position instead of time.

Squaring this equation allows the substitution of equation (54) into (59).


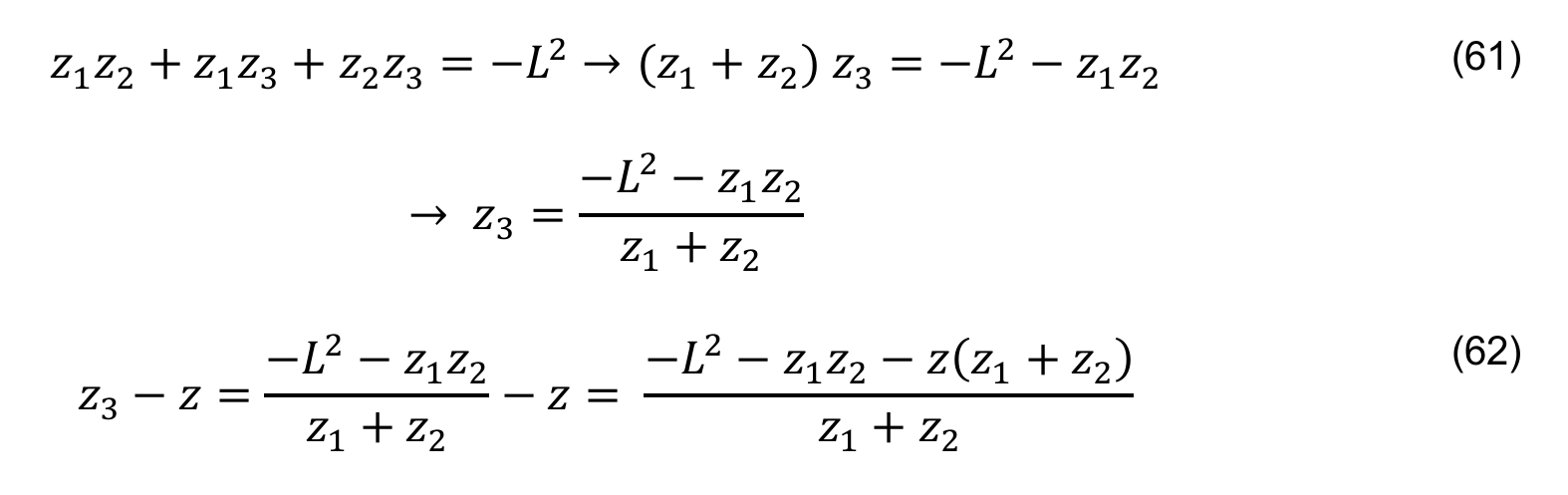
This means that we can solve for the change in angle ϕ by integrating the resulting elliptic integral. However, that is quite difficult, and it would be best to avoid it if possible. We first solve equation (57) for z3, and subtract z.
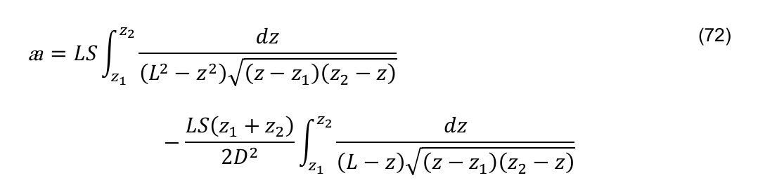
We can now solve equation (56) for ℓ2/2g with the help of (58) and (62).

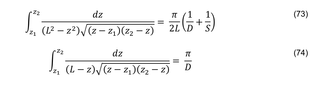
We now use the equation for z3 found in equation (61).

With this, we return to equation (60) and replace ℓ2/2g.

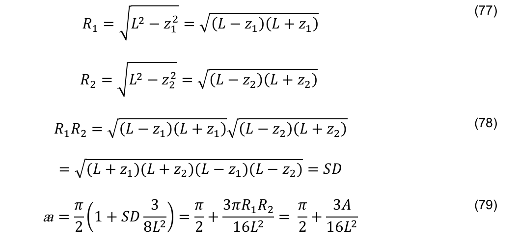
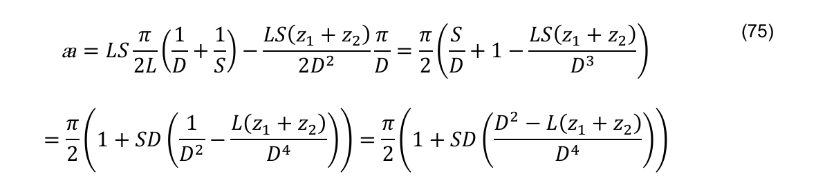
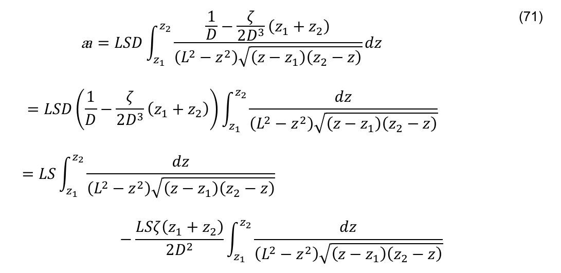
We can attempt to solve this differential equation for aa, the change in apsidal angle as z goes from z1 to z2, where z1 and z2 are solutions to equation (53) when the z velocity is 0. Since the change in z at these points is 0, they correspond to the end points of the axes of the elliptical path as seen in figure 11. As equation (53) is a cubic function, it has one more solution, but it lies beyond the range of our pendulum, from -L to L, and is never reached.

Figure 11: For an example pendulum with elliptical oscillations, we can see that there are two unique z’s for which the derivative of z is 0. These points are at the ends of the axes of the ellipse when looked at from above.
We now convert (65) into an integral by first taking the square root. The numerator terms of equation (65) are constant, so we can remove them from the integral. For the sake of brevity, let S be the square root of the sum terms and D be the square root of the difference terms.

We use equation (62) for z3 and use limits from z1 to z2 to reach our final integral. This integral will solve for the change in apsidal angle depending on the height of the pendulum at its radial extremes. 
We turn our attention to the rightmost term inside the root. Since the pendulum will tend to hang at the bottom, z can be considered as -L+ζ, where ζ is small. This turns that term into something which can be expanded using Newton’s binomial theorem.

The integral (68) can now be approximated as the following

Since ζ is z+L, this allows a cancellation in the 2nd integral.

We can evaluate these integrals using Mathematica and can include some restrictions for simplification. Since z1 and z2 are heights in a possible sphere of radius L, they must both be between -L and L. We are not solving a conical pendulum, a pendulum which revolves in a circular path, so z1 does not equal z2. This gives us restrictions that -L < z1 < z2 < L, and with Mathematica we obtain the following.

Using these results, equation (72) becomes the following.

Since the oscillations are small, z1 and z2 are approximately -L. This implies that D ≈ 2L and z1 + z2 ≈ -2L. With this final approximation, equation (75) now becomes the following.

If you return to equation (48) and consider that R1 is related to z1 and R2 is related to z2, we can reach the previously stated conclusion that the ellipse will process with respect to its area.

In one full revolution of the ellipse, any apse will go around 4 times, which gives that in one full revolution, the apsidal angle will advance by the expected 2π in addition to 4 times the rightmost element of equation (79).

III. Graphs and Data from Magnetically Driven Pendulum
As we are interested in examining the motion of a pendulum under the effect of the Coriolis force and of the apsidal precession, it would be nice to have a consistent pendulum construction. For this, we will be using the pendulum made by M. G. Olsson in 1981 with the intent to study the apsidal precession effect, as it has specified length (2.28 meters) and elliptical area (0.148 meter minor axis and 0.282 meter major axis)10. For the Foucault effect, Olsson’s pendulum will be assumed to have no ellipticity.
Let us first examine the pendulum motion under the influence of the Earth’s rotation. The simplest motion to understand would be at the poles, where the Earth rotates one time in 24 hours. As seen in figure 12, which has the pendulum in motion for 6 hours, the pendulum makes the expected quarter rotation. However, this plot is quite dense, so for the following plots of Foucault precession, the Earth’s rotation will be multiplied by 3600 and the time will be divided by 3600. The achieved effect is that we can see the motion more clearly as the plot does not need to draw over itself many times. From figure 13, it is clear to see that the pendulum starts on the horizontal and moves generally counterclockwise. An observation is that the motion is most curved toward the origin, where the pendulum bob will be moving at its fastest. This aligns with the expected theory, as the Coriolis force is dependent on velocity. As we want to compare predictions with the magnetically driven pendulum we constructed, let us move Olsson’s pendulum to a latitude of 42, approximately where our pendulum is.

Figure 12: Pendulum with initial movement along x axis, at a latitude of 90 for 6 hours.

Figure 13: The same pendulum as figure 12, but for an Earth rotating 3600 times as fast. The motion modeled is over the course of 6 seconds, equivalent to 6 hours in figure 12.
For the Earth, Ω is approximately 360 degrees per 24 hours. We know that the pendulum precession rate is Ωz = Ωcos(θ), and for a colatitude at 42 degrees, this rate is approximately 10.037 degrees per hour. This means that in just under 36 hours, we can expect the pendulum to go around one time. As seen in figure 14, there are two sets of spikes in a circle. This matches the prediction, as one set of spikes would imply a 180-degree rotation since the bob moves back and forth.

Figure 14: A pendulum at latitude 42, moving for an equivalent of 36 hours.
The tracking for the magnetically driven pendulum consists of two parts, a magnet on the bottom of the bob and a series of magnetic Hall effect sensors as seen in figure 15. For information on the construction of the magnetically driven pendulum, see the relevant appendix. When the bob passes over a sensor, we will see a response, and this means that the equivalent plot to figure 14 for our pendulum would be such that each sensor gives two spikes over the course of 36 hours. An Origin graph of the sensor responses during a test run is seen in figure 16, where a thick black line at 36 hours indicates where a full revolution is expected. The pendulum was started over the sensor labeled S2, meaning that we expect to see S2 give a strong response at the 36 hour line.

Figure 15: Hall effect sensor layout which tracks when the bob swings over them.


Figure 16: A plot of voltage over time of the sensor array during a run from June 2nd to June 6th of 2023. This graph only looks at the first 40 hours to avoid visual clutter.
Based on the previous statement, we can see that the pendulum precession is not as predicted. Although we find that the precession rate as found by each sensor is within uncertainty of each other as seen in figure 17 and table 2, the time for the pendulum to move between sensors clearly differs. There are many factors that could influence the pendulum to produce such results, most likely stemming from the construction and nonuniformity of the magnet.

Figure 17: Using the full run of data from June 2nd to June 6th and noting the peak responses over time, we find the precession rates.
|
Table II. Precession rates in degrees per hour as seen by each sensor based on the 94 hour run of data during 2023 |
|
S1 |
S2 |
S3 |
S4 |
S5 |
|
|
Value |
11.498 |
11.502 |
11.423 |
11.489 |
11.521 |
|
Unc. |
0.126 |
0.127 |
0.091 |
0.177 |
0.221 |
|
S6 |
S7 |
S8 |
S9 |
|
|
Value |
11.557 |
11.560 |
11.534 |
11.504 |
|
Unc. |
0.172 |
0.136 |
0.117 |
0.100 |
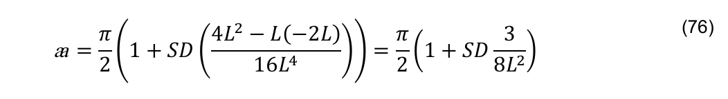
However, as found in previous sections, a pendulum not moving in a perfect line will have an additional precession rate. The goal during the summer of 2023 was to get the pendulum to consistently drive, and as such, elliptical precession was not studied. For models, we return to Olssen’s pendulum specifications. From equation (80), we can extract the extra precession due to the elliptical motion.

For Olssen’s pendulum, we get that over one orbit, there should be about an additional degree of precession.

This change can be seen with great difficulty in figure 18. Unsurprisingly, this effect will become noticeable with time as in figure 19.

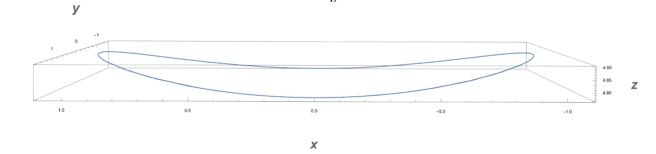
Figure 18: The red ellipse indicates the original path, and the blue ellipse underneath indicates the new path after one orbit.

Figure 19: The red ellipse indicates original path, and the blue ellipses beneath indicate the path over 50 orbits.
In his study, Olssen calculates that over 50 orbits, there should be a deviation of 54.2 degrees from the original path. From experiment, he finds that this calculation is within 2 degrees of the actual value.
It is not shocking that there was apprehension with Foucault’s pendulum at the time, as the apsidal precession was not understood until the first sufficient explanation by H. K. Onnes in 1879, 28 years after the pendulum first appeared in the Panthéon of France. For Olssen’s pendulum, 50 orbits would take two and a half minutes.

If the pendulum was placed at the North pole for the fastest precession, in the time that the apsidal precession moves the pendulum 54.2 degrees, the Coriolis force would have moved the pendulum less than a degree.

Even for a pendulum with a ratio of 1:100 axes, the apsidal precession overpowers the Coriolis force by a factor of nearly two.

A pendulum set up seemingly perfectly may move at an absurd rate or even backwards, and so it is no surprise that the Foucault pendulum is mostly used a tool for demonstrations of science rather than something to be measured and studied precisely.
IV. Conclusion
Over the summer of 2023, this project involved constructing a magnetically driven pendulum to consistently drive first, and then to move with the Earth as predicted second. After returning to the project, the focus was to study the theory behind the different aspects of a spherical pendulum on Earth. Three main characteristics were derived: the period of a pendulum under the influence of gravity, the effect of a rotating Earth underneath a linearly oscillating pendulum, and the effect of elliptical oscillations rather than linear ones on the apsidal precession of the pendulum’s orbit.
The major approximations used only involved the assumption that the pendulum swings through small angles, which is valid for an undriven pendulum as it dampens over time but may conflict with a driven one, which is the end goal of the project. We find that the apsidal precession effect from seemingly unobservable elliptical oscillations has potential to mask the effect from the rotating Earth entirely, making the fact that the pendulum oscillates strictly linearly of great importance.
Although data was compared with theory and shown to disagree with predictions, the source of the error is difficult to pin down, as there are many potential sources. Sources of error were tested during the summer of 2023, but not extensively, which may be an interesting addition for this study in the future. As of now, the pendulum is set up to be driven parametrically by a linear motor rather than magnetically, which is predicted to be less prone to issues. When this new setup is eventually set to drive, it may also be interesting to compare the data with that of the magnetically driven pendulum.
Note: Eukaryon is published by students at Lake Forest College, who are solely responsible for its content. This views expressed in Eukaryon do not necessarily reflect those of the College. Articles published within Eukaryon should not be cited in bibilographies. Material contained herein should be treated as personal communication and should be cited as such only within the consent of the author.
References
W. Tobin, The Life and Science of Léon Foucault: The Man Who Proved the Earth Rotates, (Cambridge University Press, Cambridge, 2003)
J. L. Synge and B. A. Griffith, Principles of Mechanics, 3rd ed. (McGraw-Hill, New York, 1959)
Physics and Math Lectures, “Intro to Jacobi Elliptic Functions”, YouTube, August 3, 2020, https://youtu.be/CmAaC2Z4FAI (Accessed April 17, 2025)
Wolfram Research, Inc., Mathematica 13.2, (Champaign, IL, 2022)
M. R. Spiegel, S. Lipschutz, and J. Liu, Mathematical Handbook of Formulas and Tables, 5th ed. (McGraw-Hill, New York, 2018)
D. Zimmer (private communication)
National Institute of Standards and Technology (NIST), Standard Acceleration of Gravity, https://physics.nist.gov/cgi-bin/cuu/Value?gn (Accessed April 17, 2025)
J. R. Taylor, Classical Mechanics, (University Science Books, California, 2005)
D. Kleppner and R. Kolenkow, An Introduction to Mechanics, 2nd ed. (Cambridge University Press, Cambridge, 2013)
M. G. Olsson, Am. J. Phys., 49, 531-534 (1981)
N. Mueggenburg (private communication)
OriginLab Corporation, Origin 2024, (Northampton, MA, 2024)
D. Scherfgen, Integral Calculator, https://www.integral-calculator.com/, (Accessed April 19, 2025)
Wolfram Research, Inc., WolframAlpha, https://www.wolframalpha.com/, (Accessed April 19, 2025)